RuggedVPN

RuggedVPN

Viprinet's next generation bonding solution

Image
RuggedVPN icon

RuggedVPN is Viprinet’s next generation firmware helping our routers to achieve their full potential out-of-the-box. 
Whatever area you work in, these new features will make it easier to guarantee rock-solid business continuity for your critical applications, whether you're at the office, on the road, or in the field. Boost your effectiveness with RuggedVPN and get:
    
Optimized performance

  • Significantly increased bonding capacity--up to 80%
  • Up to 0% packet loss with our new Distributed Forward Error Correction (DFEC) technology
  • Lower latencies and less jitter, allowing faster transmission of real-time information without buffering – optimal for audio & video broadcasts

More flexibility--tailor your network architecture

  • More users and locations can be connected per hub
  • VLAN routing via WAN 
  • Future-proofing--with support for IPv6 (under development) and Jumbo Frames / IP fragmentation  

RuggedVPN Features

Increased efficiency
Bonding capacity increases of up to 80%

  • Data compression: Most data is already compressed, RuggedVPN uses adaptive compression only if the flow is compressible. With real-life user traffic, this results in 30% more throughput!
  • IP header compression: Saves bandwidth for your content: Viprinet RuggedVPN compresses headers down to ~8 Bytes – 4% more throughput!

How big are uncompressed headers? 40–60 bytes -- IPv4 = 20; IPv6 = 40 + TCP Header = 20. At an MTU of 1500, this results in a 4% header overhead for full-sized frames, much more for smaller frames (ACK packets)

  • Jumbo dynamic frame sizes of up to 32k and IP Fragmentation Support: IP Fragments reassembled on entry and disassembled when moving towards to the LAN, seen as Jumbo Frames inside routing core


Improved scalability

  • Support a higher number of users and locations without buying more hubs
  • Connect VLANs via WAN (VLAN-Routing)
  • IPv6 support (under development)
    • Dual-Stack approach
    • Fully integrated
    • Stateless and stateful auto-configuration supported on the LAN

Increased fidelity
Distributed Forward Error Correction ensures that your packets get there, every time

  • keeps latency values low by preventing congestion
  • optimal for audio/video transmission, even from moving vehicles
  • See how DFEC works:
Image
rugged_vpn_1
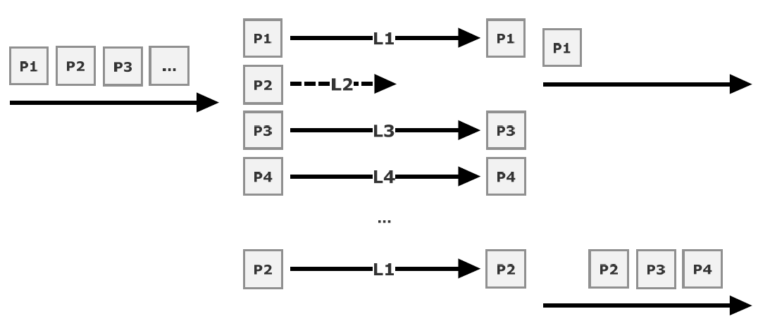
Classic Bonding Mode with packet loss
Image
rugged_vpn_2
FEC Bonding Mode without packet loss
Image
rugged_vpn_3
FEC Bonding Mode with packet loss

A new approach to Quality of Service

Your priorities are central to our new firmware. Viprinet deployments use Quality of Service settings to assign specific transmission approaches to different types of traffic. The classic firmware applied bonding modes to traffic types. 
Rugged VPN now uses bonding priorities. The options are:

  • Link stability: Connections with higher link stability (calculated based on packet loss and connection failure) are preferred
  • Packet loss: Packet retention is prioritized.
  • Cost: Less expensive connections are used in preference to costlier ones.
  • Latency: Faster connections are preferred.  
  • Bandwidth :Higher- capacity connections are used before lower-capacity ones.  


Upgrade today and access the next generation in router technology
Want to get Rugged VPN today? Subscribe to Viprinet Lifetime Maintenance to update your classic firmware.

Tables showing compatibility of Viprinet devices with different firmware generations

Model Classic RuggedVPN
Multichannel VPN Router 200
Multichannel VPN Router 300
Multichannel VPN Router 310
Multichannel VPN Router 500
Multichannel VPN Router 510
Multichannel VPN Router 511
Multichannel VPN Router 512
Multichannel VPN Router 1600
Multichannel VPN Router 1610
Multichannel VPN Router 2610
Multichannel VPN Router 2620
Model Classic RuggedVPN
Multichannel VPN Hub 1000
Multichannel VPN Hub 1020
Multichannel VPN Hub 2000
Multichannel VPN Hub 2020
Multichannel VPN Hub 2030
Multichannel VPN Hub 5000
Multichannel VPN Hub 5010

Models given in italics have reached EOL and are no longer sold. A compatibility table for our Hot Plug Modules will be coming soon.